Девочки, наконец-то я посчитал суммы. Обычно в СП сижу ночами, а тут 3 дня подряд у нас свет ночью отрубают. Ненадолго, но хватало, чтобы мне напакостить.
Всё, что вносили в форму и просили в теме, всё постаралась максимально выполнить. Но не без косяков моих... В этот раз заказов в теме было много, как никогда. И у меня еще прям цейтнот на прошлой неделе был. В общем, несколько позиций не добавила в корзину((( Прошу прощения, если эти позиции были значимые для вас!
Итак, я не добавила в корзину следующие товары:
арт. 1722955 - корректор 1шт. (Ируська)
арт. 1857441 - конверт для запекания 3 шт. (jerci)
арт. 9136671 - пакет для подарков 5 шт. (Nadejda)
арт. 9471408 - поталь 2 шт. (OleMan)
И ещё трёх позиций не оказалось на складе уже после отправки заказа:
арт. 10610726 - подарочный набор с гелем (Ируська)
арт. 7667648 - машина инерционная (jerci)
арт. 9146616 - заварочный чайник 1 шт. (Drinkblood)
СП153 Изобилие сувениров и подарков Сима-ленд СТОП! Ждем груз
-
-Olly-
- Организатор с опытом
- Сообщения: 2261
- Зарегистрирован: 11 мар 2022, 21:37
-
-Olly-
- Организатор с опытом
- Сообщения: 2261
- Зарегистрирован: 11 мар 2022, 21:37
Re: СП153 Изобилие сувениров и подарков Сима-ленд СТОП! Ждем груз
ОПЛАЧИВАЕМ 16-18 декабря
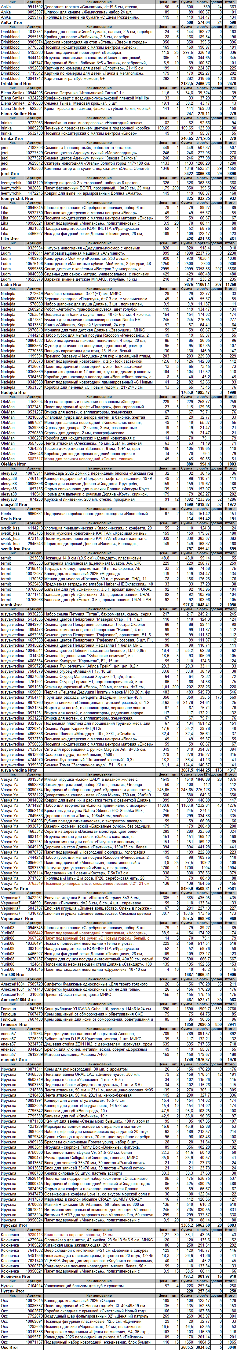
СВЕРКА: https://wdho.ru/cdlR
сверка картинкой
Суммы к оплате:

Раздача ~19-20 декабря
РЕКВИЗИТЫ В ЛИЧКУ СКИНУ В ТЕЧЕНИЕ ДНЯ. НЕ УСПЕВАЮ СРАЗУ!
СВЕРКА: https://wdho.ru/cdlR
сверка картинкой
Скрытый текст:

Раздача ~19-20 декабря
РЕКВИЗИТЫ В ЛИЧКУ СКИНУ В ТЕЧЕНИЕ ДНЯ. НЕ УСПЕВАЮ СРАЗУ!
-
-Olly-
- Организатор с опытом
- Сообщения: 2261
- Зарегистрирован: 11 мар 2022, 21:37
Re: СП153 Изобилие сувениров и подарков Сима-ленд СТОП! Ждем груз
И если у кого-то осталось желание что-то дозаказать, это возможно сделать. До 17:00 среды можно делать заказы в форму, 23-24 приедут. Если достаточно будет суммы для минималки, я отправлю заказ. Я сама ничего не успела в этот раз заказать, с моими заказами уже сейчас будет 1/4 минималки.
-
елена57
- Сообщения: 276
- Зарегистрирован: 14 мар 2022, 10:50
-
tusya-vredina
- Сообщения: 312
- Зарегистрирован: 13 мар 2022, 21:21
Re: СП153 Изобилие сувениров и подарков Сима-ленд СТОП! Ждем груз
Оля, спасибо за такую чудесную возможность!
в форме!
